How can biological phenomena be expressed in mathematical terms?
Many experimentally observed phenomena in biology still lack a mathematical framework. I aim to build such foundations and render them intelligible to theorists.
What makes biological systems unique relative to those in mathematics, physics, and information theory?
In one definition by NASA, life is characterized as “a self-sustaining chemical system capable of Darwinian evolution.” How does each element—molecular basis, self-sustaining dynamics, and evolution—fundamentally make a system biological?
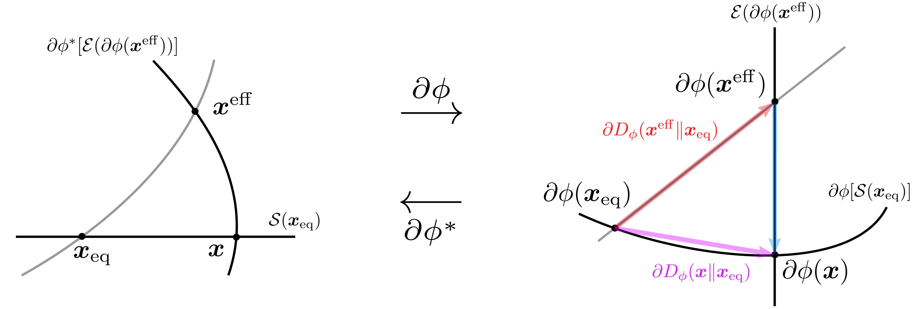
We obtain bounds on the Kullback–Leibler divergence to equilibrium for mass-action chemical reaction networks (CRNs) with equilibrium. The associated decay rates are characterized in terms of the singular values of the stoichiometric matrix, convexity parameters, and time-integrated activities via deformed-exponential-type functions. We further extend these bounds within a generalized gradient flow framework. We highlight the biological relevance of this framework: the resulting bounds apply to quasi-steady-state regimes, where long transients and plateau-like behavior are common and functionally important. We illustrate the framework using a catalytic CRN exhibiting plateaus, where the bounds capture slow relaxation induced by local convexity and provide a bound-based approach to quantifying relaxation in CRNs.
@article{sugie2026convex,title={Convex analysis of relaxation dynamics in chemical reaction networks and generalized gradient flows},author={Sugie, Keisuke and Loutchko, Dimitri and Kobayashi, Tetsuya J.},journal={},volume={},issue={},pages={},numpages={},year={2026},month=feb,publisher={},xdoi={},url={https://arxiv.org/abs/2602.18932},}
2025
preprint
Information geometry of perturbed gradient flow systems on hypergraphs: A perspective towards nonequilibrium physics
This article serves to concisely review the link between gradient flow systems on hypergraphs and information geometry which has been established within the last five years. Gradient flow systems describe a wealth of physical phenomena and provide powerful analytical technquies which are based on the variational energy-dissipation principle. Modern nonequilbrium physics has complemented this classical principle with thermodynamic uncertaintly relations, speed limits, entropy production rate decompositions, and many more. In this article, we formulate these modern principles within the framework of perturbed gradient flow systems on hypergraphs. In particular, we discuss the geometry induced by the Bregman divergence, the physical implications of dual foliations, as well as the corresponding infinitesimal Riemannian geometry for gradient flow systems. Through the geometrical perspective, we are naturally led to new concepts such as moduli spaces for perturbed gradient flow systems and thermodynamical area which is crucial for understanding speed limits. We hope to encourage the readers working in either of the two fields to further expand on and foster the interaction between the two fields.
@article{loutchko2025information,title={Information geometry of perturbed gradient flow systems on hypergraphs: A perspective towards nonequilibrium physics},author={Loutchko, Dimitri and Sugie, Keisuke and Kobayashi, Tetsuya J.},journal={},volume={},issue={},pages={},numpages={},year={2025},month=oct,publisher={},xdoi={},url={https://arxiv.org/abs/2510.27268},}
PhysRevE
Transitions and thermodynamics on species graphs of chemical reaction networks
Chemical reaction network (CRN) theory is widely utilized to model and analyze a wide range of biochemical phenomena. Structural transformations and reductions serve as essential tools to better understand how topological properties of a CRN are related with specific functions. In this context, graph-based representations of CRNs have been explored; however, their connections to concentration dynamics and thermodynamics remain elusive. In this study, we propose a natural transformation from the classical complex-reaction graph to a species-transition graph, leveraging the conservation laws of the stoichiometric matrix. By introducing transition matrices on the species graph, the concentration dynamics of CRNs are reinterpreted as the differences between the physically observable inflow and outflow of species. This approach enables the formal lumping of multiple reactions into fewer interactions, which we demonstrate using a realistic metabolic model of E. coli. Additionally, we define species-specific thermodynamic quantities on the species graphs and establish bounds relating them to conventional reactionwise quantities. The specieswise bounds of conventional driving forces and entropy production rates can outperform the bounds determined by reactionwise flux fluctuations, as illustrated through numerical simulations with the Brusselator model. The proposed framework unifies graph-based representations of CRNs with concentration dynamics and thermodynamic principles, offering novel insights and computational advantages for analyzing complex biochemical networks.
@article{sugie2025transitions,title={Transitions and thermodynamics on species graphs of chemical reaction networks},author={Sugie, Keisuke and Loutchko, Dimitri and Kobayashi, Tetsuya J.},journal={Phys. Rev. E},volume={112},issue={4},pages={044112},numpages={14},year={2025},month=oct,publisher={American Physical Society},doi={10.1103/p42m-8bqy},url={https://link.aps.org/doi/10.1103/p42m-8bqy},}